Упр.899 ГДЗ Никольский Потапов 7 класс (Алгебра)
Решение #1

Рассмотрим вариант решения задания из учебника Никольский, Потапов 7 класс, Просвещение:
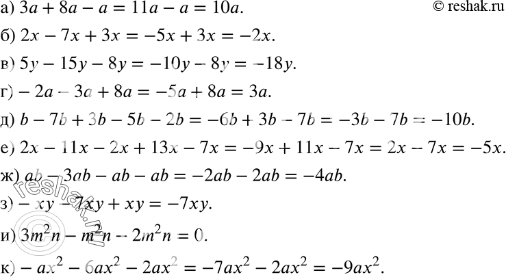
899. Приведите подобные члены:
а) За + 8а - а;
б) 2х - 7х + Зх;
в) 5у - 15у - 8у;
г) -2а - За + 8а;
д) b - 7b + Зb - 5b - 2b;
е) 2х - 11х - 2x + 13x - 7x;
ж) ab - 3ab - ab - ab;
з) -ху - 7ху + ху;
и) Зm2n - m2n - 2m2n;
к) -ах2 - бах2 - 2ах2.
*размещая тексты в комментариях ниже, вы автоматически соглашаетесь с пользовательским соглашением