Упр.9 ГДЗ Колягин Ткачёва 10 класс (Алгебра)
Решение #1
Решение #2

Рассмотрим вариант решения задания из учебника Колягин, Ткачёва, Фёдорова 10 класс, Просвещение:
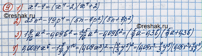
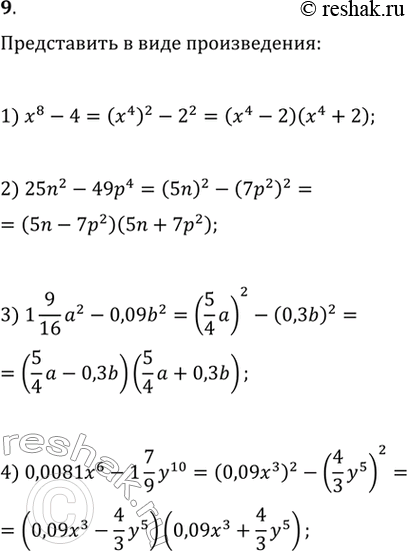
Представить данный многочлен в виде произведения, применив формулы сокращённого умножения:
1) x8 - 4;
2) 25n2 - 49р4;
3) 1*9/16а2 - 0,09b2;
4) 0,0081x6 - 1*7/9y10.
*размещая тексты в комментариях ниже, вы автоматически соглашаетесь с пользовательским соглашением