Упр.9.4 ГДЗ Мерзляк 11 класс Углубленный уровень (Алгебра)
Решение #1

Рассмотрим вариант решения задания из учебника Мерзляк, Номировский, Поляков 11 класс, Вентана-Граф, Просвещение:
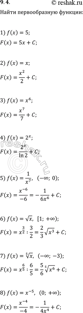
9.4. Найдите общий вид первообразных функции:
1) f(x)=5; 5) f(x)=1/x^7 на промежутке (-бесконечность; 0);
2) f(x)=x; 6) f(x)=vx на промежутке [1; +бесконечность);
3) f(x)=x^6; 7) f(x)=x^(1/5) на промежутке (-бесконечность; -3);
4) f(x)=2^x; 8) f(x)=x^(-5) на промежутке (0; +бесконечность).
*размещая тексты в комментариях ниже, вы автоматически соглашаетесь с пользовательским соглашением