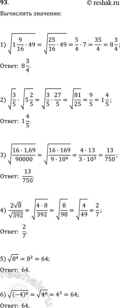
Упр.93 ГДЗ Колягин Ткачёва 10 класс (Алгебра)
Решение #1
Решение #2

Рассмотрим вариант решения задания из учебника Колягин, Ткачёва, Фёдорова 10 класс, Просвещение:
Вычислить:
1) корень (1*9.16 *49);
2) корень 3/5 * корень 5*2/5;
3) корень (16*1,69)/90000;
4) 2 корень 8/392;
5) корень 8^4;
6) корень (-4)6.
*размещая тексты в комментариях ниже, вы автоматически соглашаетесь с пользовательским соглашением