№1088 ГДЗ Атанасян 7-9 класс по геометрии (Геометрия)

Решение #1

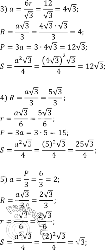
Изображение На рисунке 311,6 изображён правильный треугольник, вписанный в окружность радиуса R. Перечертите таблицу в тетрадь и заполните пустые клетки (а3 — сторона треугольника,...
Дополнительное изображение

Рассмотрим вариант решения задания из учебника Атанасян, Бутузов 9 класс, Просвещение:
На рисунке 311,6 изображён правильный треугольник, вписанный в окружность радиуса R. Перечертите таблицу в тетрадь и заполните пустые клетки (а3 — сторона треугольника, Р — периметр треугольника, S — его площадь, r — радиус вписанной окружности).
*Цитирирование задания со ссылкой на учебник производится исключительно в учебных целях для лучшего понимания разбора решения задания.
*размещая тексты в комментариях ниже, вы автоматически соглашаетесь с пользовательским соглашением