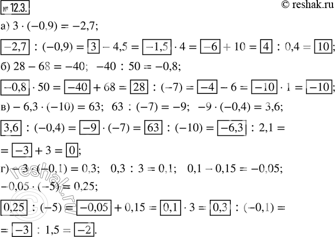
Упр.12.3 ГДЗ Рабочая тетрадь Зубарева 6 класс Мнемозина (Математика)
Решение #1

Рассмотрим вариант решения задания из учебника Зубарева 6 класс, Мнемозина:
12.3. Восстановите цепочку вычислений.
*размещая тексты в комментариях ниже, вы автоматически соглашаетесь с пользовательским соглашением