Упр.13.3 ГДЗ Мерзляк 11 класс Углубленный уровень (Алгебра)
Решение #1

Рассмотрим вариант решения задания из учебника Мерзляк, Номировский, Поляков 11 класс, Вентана-Граф, Просвещение:
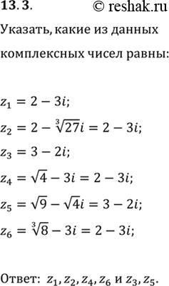
13.3. Укажите, какие из данных комплексных чисел равны:
z_1=2-3i; z_2=2-((27)^(1/3))i;
z_3=3-2i; z_4=v4-3i;
z_5=v9-v4i; z_6=8^(1/3)-3i.
*размещая тексты в комментариях ниже, вы автоматически соглашаетесь с пользовательским соглашением