Упр.14.19 ГДЗ Никольский Потапов 11 класс (Алгебра)
Решение #1

Рассмотрим вариант решения задания из учебника Никольский, Потапов 11 класс, Просвещение:
14.19 Является ли вторая система следствием первой системы:
а) система
x2+2y+lgx=5+lgx
x+y-1
и
система
x2+2y=5
x+y=1;
б) система
корень (x+1) = y-x
2xy-y2=55
и
система
x+1=y2=y2-2xy+x2
2xy-y2=55;
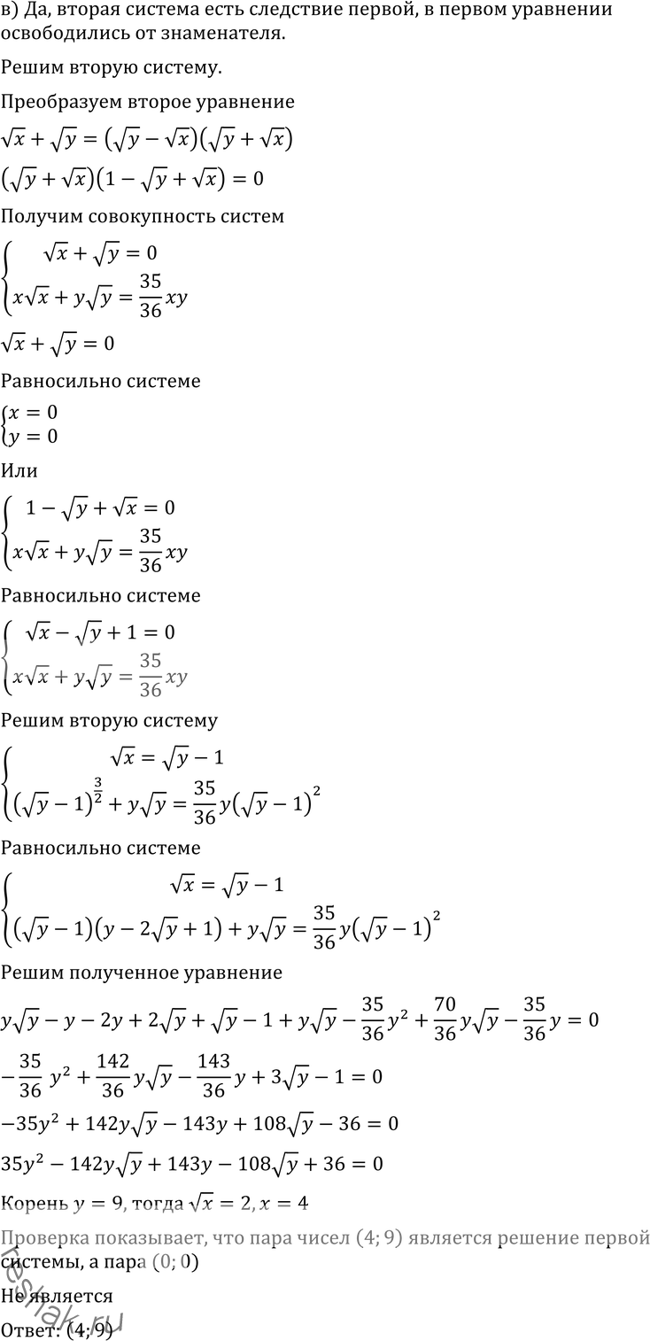
в) система
корень x/y + корень y/x=35/36
корень x + корень y=y-x
и
система
x корень x + y корень y=35/36 *xy
корень x + корень y=y-x;
г) система
log2(x+2y)=log2(2x+y)
x2-y-2=0
и
система
x+2y=2x+y
x2-y-2=0;
д)* система
log7(x+y) + log7(x-y)=1
x/y - y/x=7/12
и
система
log7((x+y)(x-y))=1
x/y-y/x=7/12?
*размещая тексты в комментариях ниже, вы автоматически соглашаетесь с пользовательским соглашением