Упр.24.23 ГДЗ Мерзляк 11 класс Углубленный уровень (Алгебра)
Решение #1

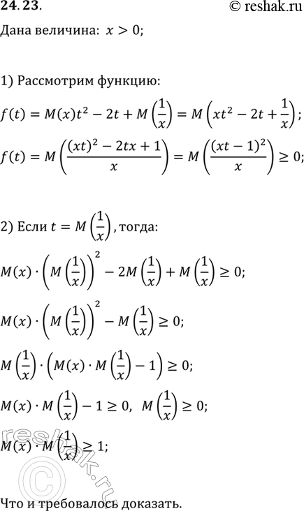
Рассмотрим вариант решения задания из учебника Мерзляк, Номировский, Поляков 11 класс, Вентана-Граф, Просвещение:
24.23. Случайная величина х принимает только положительные значения. Докажите, что M(x)·M(1/x)>1.
*размещая тексты в комментариях ниже, вы автоматически соглашаетесь с пользовательским соглашением