Упр.4.39 ГДЗ Никольский Потапов 11 класс (Алгебра)
Решение #1

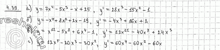
Рассмотрим вариант решения задания из учебника Никольский, Потапов 11 класс, Просвещение:
4.39 а) у = 7x4 - 5x3 - x + 25;
б) у = -x4 + 8x2 + 2x - 19;
в) у = x12 - 5x8 + 6x4 - 1;
г) у = 12x5 - 20x3 - 30x2.
*размещая тексты в комментариях ниже, вы автоматически соглашаетесь с пользовательским соглашением