Упр.4.60 ГДЗ Никольский Потапов 11 класс (Алгебра)
Решение #1

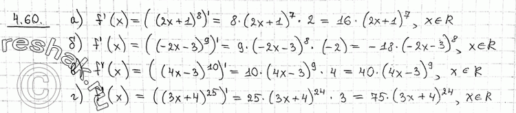
Рассмотрим вариант решения задания из учебника Никольский, Потапов 11 класс, Просвещение:
4.60 а) f(x) = (2x + 1)8:
б) f(x) = (-2x - 3)9;
в) f(x) = (4x - 3)16;
г) f(x) = (3x + 4)25.
*размещая тексты в комментариях ниже, вы автоматически соглашаетесь с пользовательским соглашением