Упр.690 ГДЗ Никольский Потапов 7 класс (Алгебра)
Решение #1

Рассмотрим вариант решения задания из учебника Никольский, Потапов 7 класс, Просвещение:
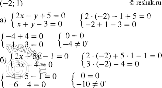
690 Покажите, что пара чисел (-2; 1) не является решением системы:
а) система
2x-y+5=0,
x+y-3=0;
б) система
2x+6y-1=0,
3x-4=0.
*размещая тексты в комментариях ниже, вы автоматически соглашаетесь с пользовательским соглашением