Упр.9.10 ГДЗ Мерзляк 11 класс Углубленный уровень (Алгебра)
Решение #1

Рассмотрим вариант решения задания из учебника Мерзляк, Номировский, Поляков 11 класс, Вентана-Граф, Просвещение:
9.10. Для функции f найдите на промежутке I первообразную F, которая принимает данное значение в указанной точке:
1) f(x)=1/x^2, I=(0; +бесконечность), F(1/3)=-9;
2) f(x)=1/cos^2(x), I=(-п/2; п/2), F(п/3)=3v3;
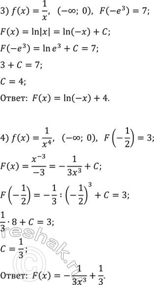
3) f(x)=1/x, I=(-?; 0), F(-e^3)=7;
4) f(x)=1/x^4, I=(-?; 0), F(-1/2)=3.
*размещая тексты в комментариях ниже, вы автоматически соглашаетесь с пользовательским соглашением