Упр.515 ГДЗ Алимов 10-11 класс (Алгебра)
Решение #1
Решение #2

Рассмотрим вариант решения задания из учебника Алимов, Колягин, Ткачёва 10 класс, Просвещение:
515 Пусть cos а = 0,6 и 0 < а < пи/2. Вычислить:
1)sina/2;
2) cosa/2;
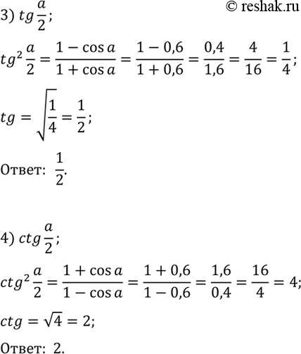
3) tga/2;
4) ctga/2.
*размещая тексты в комментариях ниже, вы автоматически соглашаетесь с пользовательским соглашением