Упр.563 ГДЗ Алимов 10-11 класс (Алгебра)
Решение #1
Решение #2

Рассмотрим вариант решения задания из учебника Алимов, Колягин, Ткачёва 10 класс, Просвещение:
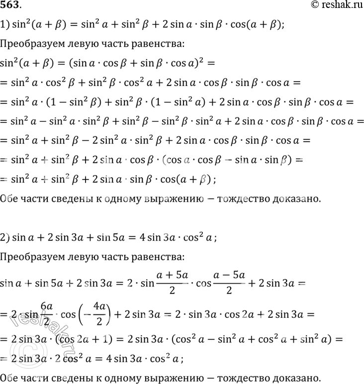
Доказать тождество (563—564).
563 1) sin2 (а + b) = sin2 а + sin2b + 2 sin а sinb cos (а + b);
2) sin а + 2 sin За + sin 5а = 4 sin За cos2 а.
*размещая тексты в комментариях ниже, вы автоматически соглашаетесь с пользовательским соглашением