Упр.788 ГДЗ Алимов 10-11 класс (Алгебра)
Решение #1
Решение #2

Рассмотрим вариант решения задания из учебника Алимов, Колягин, Ткачёва 11 класс, Просвещение:
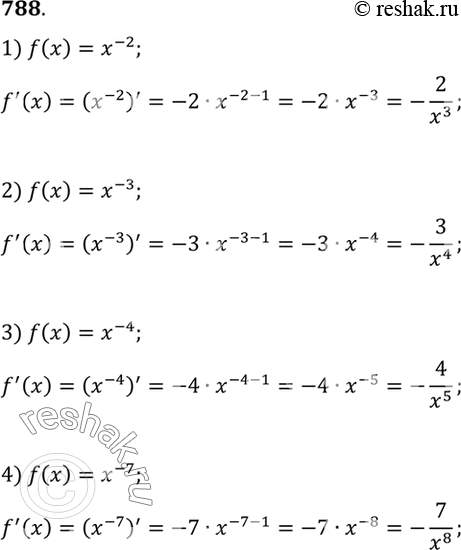
788 1) x^-2; 2) x^-3; 3) x^-4; 4) x^-7.
*размещая тексты в комментариях ниже, вы автоматически соглашаетесь с пользовательским соглашением